Geometría Analítica – 4ºESO
1. Vectores
2. Ecuación de la recta
3. Posiciones relativas de rectas
1. Vectores
1.1. Definición
Un vector es una flecha que une dos puntos del plano.
El vector de la imagen empieza en A y termina en B. El punto A recibe el nombre de origen del vector y el punto B se llama extremos del vector. Para nombrarlo se escriben el origen y el extremo juntos con una flecha encima
Características de los vectores
Coordenadas: se obtienen al restar el extremo y origen del vector.
Módulo: distancia entre A y B.
Dirección: recta en la que está incluido el vector o cualquier otra recta paralela a él. Cada dirección puede tener dos sentidos opuestos (hacía adonde apunta la flecha).
Dos vectores son iguales si tienen el mismo módulo, la misma dirección y sentido. En ese casos tienen las mismas coordenadas.
Cualquier punto del plano determina un vector que tiene origen en el punto (0,0).
Ejemplo

1.2. Operaciones con vectores
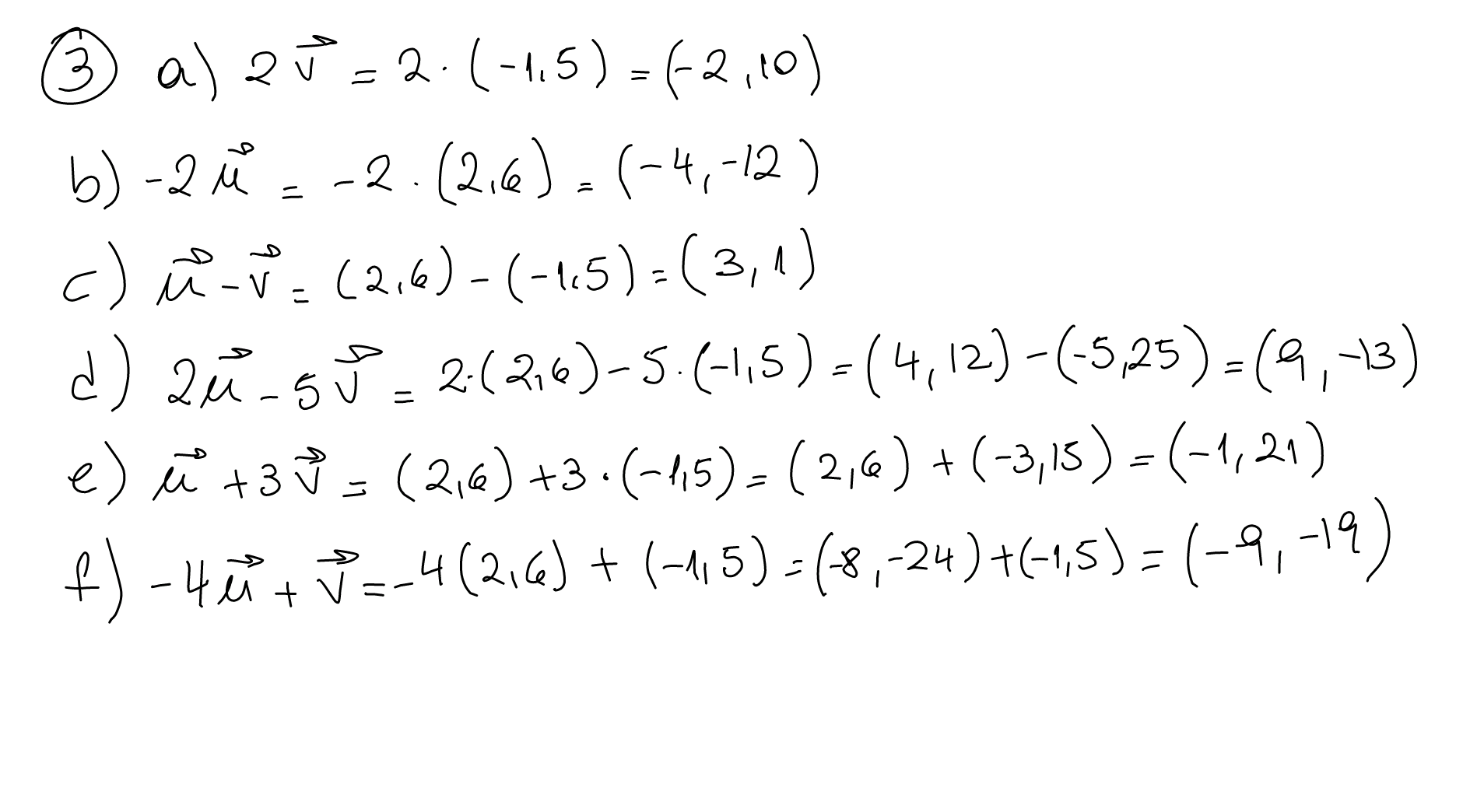
Multiplicación de un vector por un número: El resultado es otro vector que tienen la misma dirección. Si el número es positivo y mayor que cero el vector es más largo. Si está entre 0 y 1 es más corto. Si el número es negativo, el vector cambia de sentido.

Suma de vectores: La suma de dos vectores y
es otro vector que tiene origen en u y extremo en v.

Resta de vectores: La resta de dos vectores y
es equivalente a la suma del vector
y
.

Combinación lineal de vectores: Una combinación lineal de vectores es una operación combinada entre vectores. Se respeta la misma jerarquía que en las operaciones con números.

Vídeos
Actividades



SOLUCIONES
2. Ecuación de la recta
Una recta queda definida por dos puntos del plano. Esos dos puntos pueden unirse con un vector y por tanto una recta queda definida por el vector director que une esos dos puntos y uno de los puntos dados.
Las rectas tienen diferentes ecuaciones en función de la manera en que estén expresados el vector director y el punto. Suelen utilizarse las letras r, s y t para nombrar a las rectas.
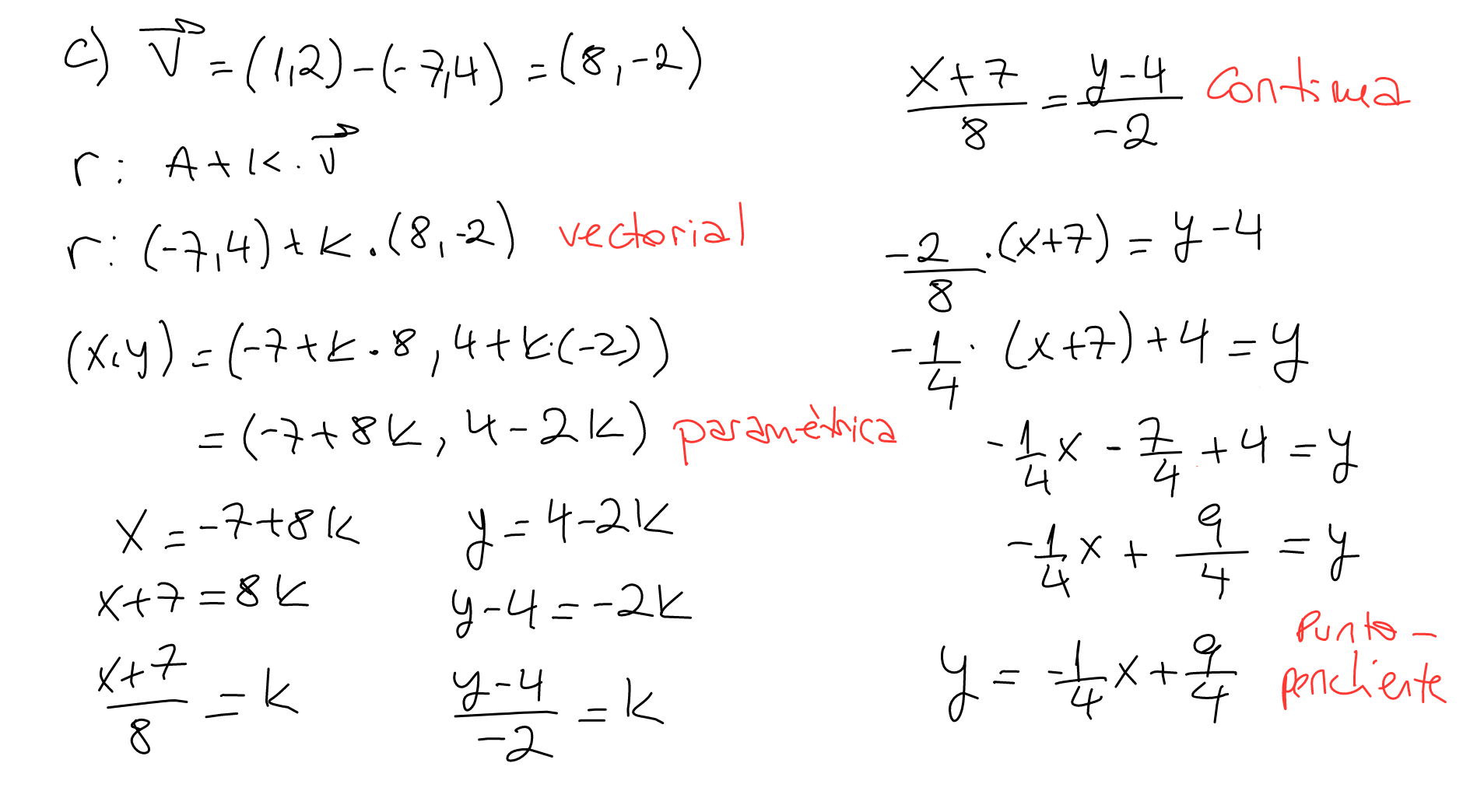
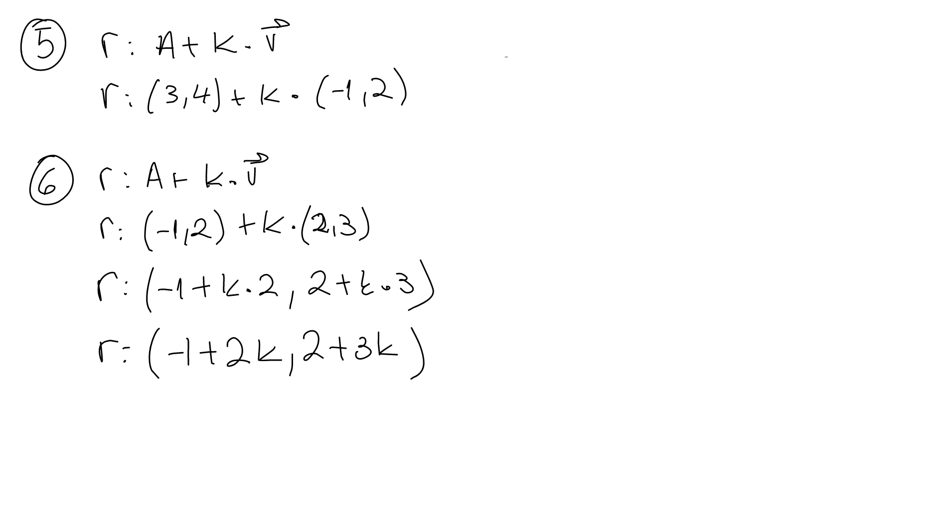
Ecuación vectorial
Está definida por un vector v y un punto A. Matemáticamente,

donde k es un número entero.
Ecuación paramétrica
La ecuación paramétrica se obtiene de la ecuación vectorial realizando la combinación lineal expresada en ella.

Ecuación continua
En la ecuación continua se despeja k de las ecuaciones paramétricas y obtenemos una igualdad.

Ecuación punto-pendiente
La pendiente se encuentra dividendo las coordenadas del vector v. Así, la ecuación punto pendiente es

Ejemplo
Calcula todas las ecuaciones de la recta que pasa por los puntos A = (1, -1) y B = (2, 1)
Paso 1: Calculo el vector director de la recta

Paso 2: Calculo la ecuación vectorial

Paso 3: Escribo la ecuación paramétrica

Paso 4: Despejo k de las ecuaciones paramétricas e igualo.
Escribo la ecuación continua

Paso 5: Despejo y de la ecuación continua.
Escribo la ecuación punto pendiente

Vídeos
Actividades
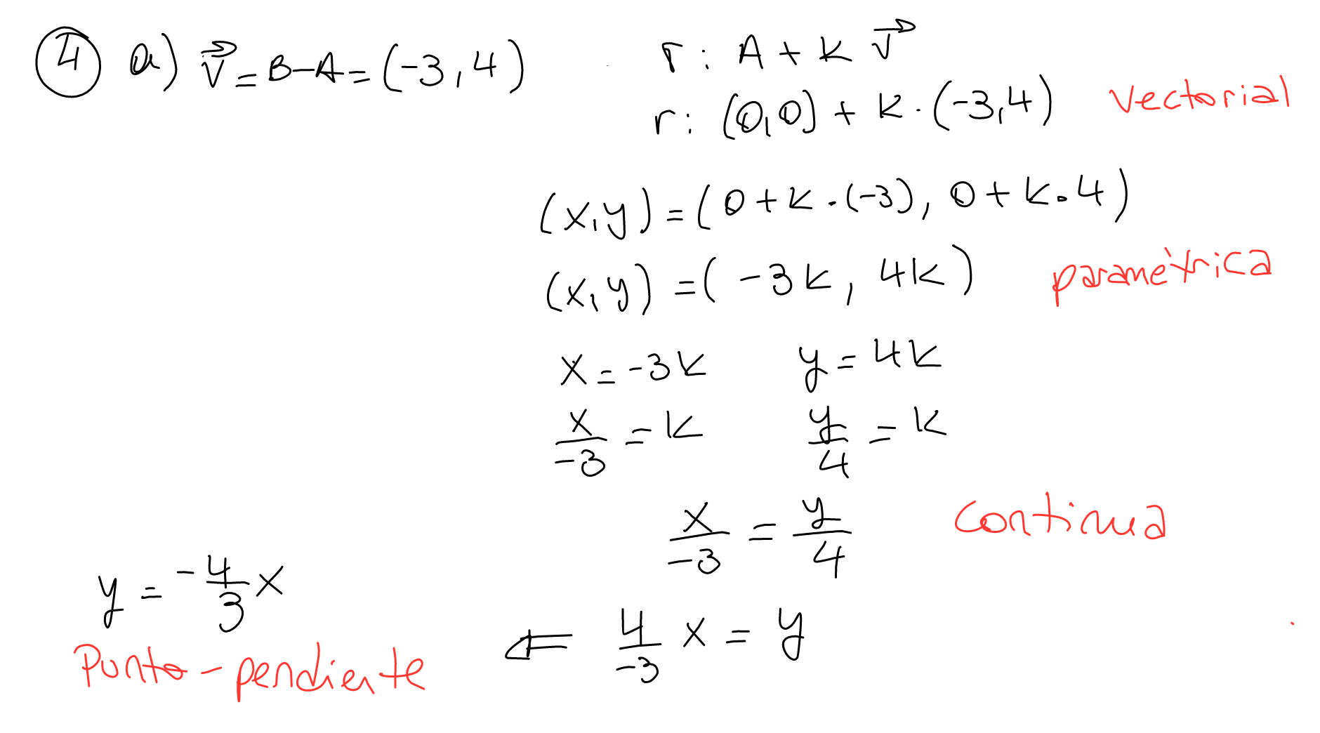
Ejercicio 4: Escribe todas las ecuaciones de la recta que pasa por
a) A =(0,0) B = (-3,4)
b) A =(0,1) B = (2,0)
c) A =(-7,4) B = (1,2)
Ejercicio 5: Escribe la ecuación vectorial de la recta que pasa por A = (3,4) y tiene vector director v = (-1, 2)
Ejercicio 6: Escribe la ecuación paramétrica de la recta que pasa por A=(-1,2) y tiene vector director v = (2,3).
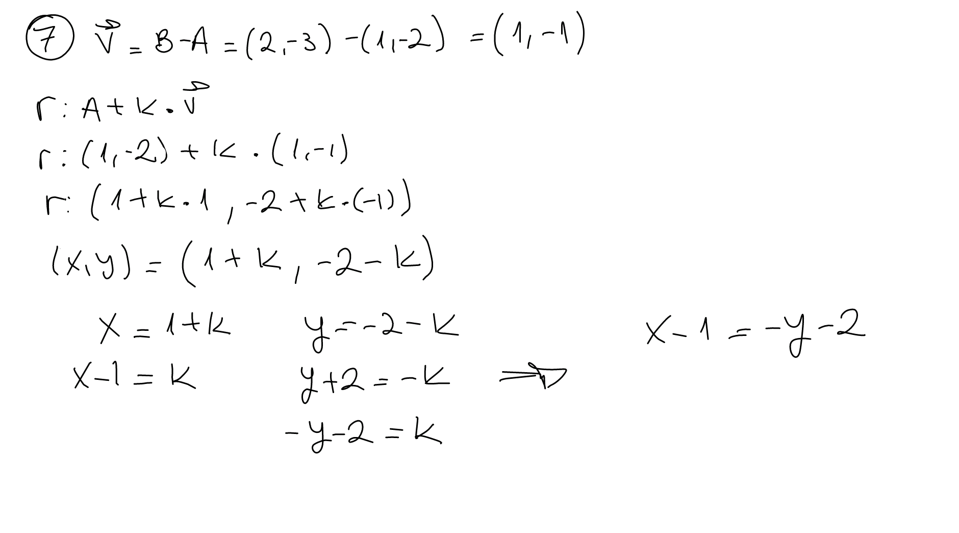
Ejercicio 7: Escribe la ecuación continua de la recta que pasa por A=(1,-2) y B = (2,-3).
Ejercicio 8: Escribe la ecuación punto-pendiente de la recta que pasa por A=(1,-2) y B = (-2,3).
SOLUCIONES
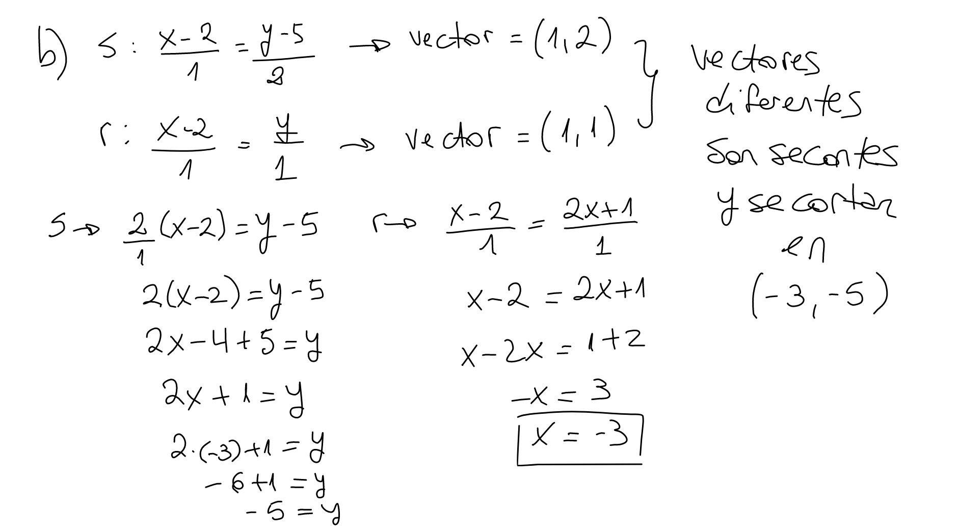
3. Posiciones relativas de rectas
| Si las pendientes o los vectores directores son diferentes | Entonces son secantes, se cortan en algún punto |
| Si las pendientes o vectores directores son iguales o proporcionales. | Entonces pueden ser paralelas o coincidentes. Hay que verificar si tiene un punto en común. Si no lo tienen son paralelas. |
Ejemplo
Vídeos
Actividades
Ejercicio 9: Estudia la posición relativa de las siguientes rectas























