Trigonometría – 4ºESO
1. Ángulos y radianes
2. Funciones trigonométricas
3. Razones trigonométricas
4. Relaciones trigonométricas
5. Resolución de triángulos rectángulos
1. Ángulos y radianes
Un ángulo es la región del plano comprendida entre dos semirrectas con un mismo origen llamado vértice.

Los ángulos se clasifican en agudos, rectos, obtusos, llanos y completos. Normalmente se miden en grados, minutos y segundos.

Otra unidad de medida de ángulos es el radián (rad).
Un radián es la medida del ángulo que hace que la longitud del arco creado sea igual al radio.
Para pasar de grados a radianes utilizamos la equivalencia 180º = π rad
Vídeos
Actividades
Ejercicio 1: Expresa los siguientes ángulos en radianes
a) 25º
b) 45º
c) 90º
d) 100º
e) 150º
f) 180º
g) 250º
h) 360º
Ejercicio 2: Expresa los siguientes ángulos en grados
a) 0,5 rad
b)1,5 rad
c)4,8 rad
d)π/2 rad
e)3π/4 rad
f) π/3 rad
SOLUCIONES


2. Funciones trigonométricas
Las funciones trigonométricas son tres: seno, coseno y tangente.
El seno (f(x) = sen x) y el coseno (f(x)=cos x) están definidos para todos los reales (-∞, +∞). Son funciones periódicas con período 2π.
La función tangente (f(x) = tan x) está definida en los intervalos .
Es periódica y se repite con período π.
Vídeos
Actividades
Ejercicio 1: Dibuja la función f(x)=sen x. Para ello completa primero la tabla y luego dibuja los puntos.
| x | 0 | π/2 | π | 3π/2 | 2π |
| y = sin x |
Ejercicio 2: Dibuja la función f(x)=cos x. Para ello completa primero la tabla y luego dibuja los puntos.
| x | 0 | π/2 | π | 3π/2 | 2π |
| y = cos x |
Ejercicio 3: Dibuja la función f(x)=tan x. Para ello completa primero la tabla y luego dibuja los puntos. Ten en cuenta que π/2 y 3π/2 son dos asíntotas.
| x | 0 | π/5 | π/4 | π/3 |
| y = tan x |
| x | (2π+1)/4 | (π+1)/2 | π | π + (5/2) | π + (3/2) |
| y = tan x |
| x | (3π+1)/2 | (3π+3)/2 | 2π |
| y = tan x |
Ejercicio 4: Contesta a las preguntas
a) ¿Cuál es el dominio de la función seno? ¿Y su imagen?
b) ¿Cuál es la imagen de la función coseno?
c) Calcula la imagen de la función seno en x = -2π y en x = 3π.
d) Calcula la imagen de la función coseno en x = -2π y en x = 3π
e) Calcula la imagen de la función tangente en x = 5π/2
SOLUCIONES
3. Razones trigonométricas
Las funciones trigonométricas seno, coseno y tangente pueden definirse en relación a un ángulo agudo de un triángulo rectángulo utilizando sus lados.
Importante: Para un ángulo agudo el seno y el coseno siempre toma valores entre 0 y 1.

Ejemplo
Vídeos
Actividades
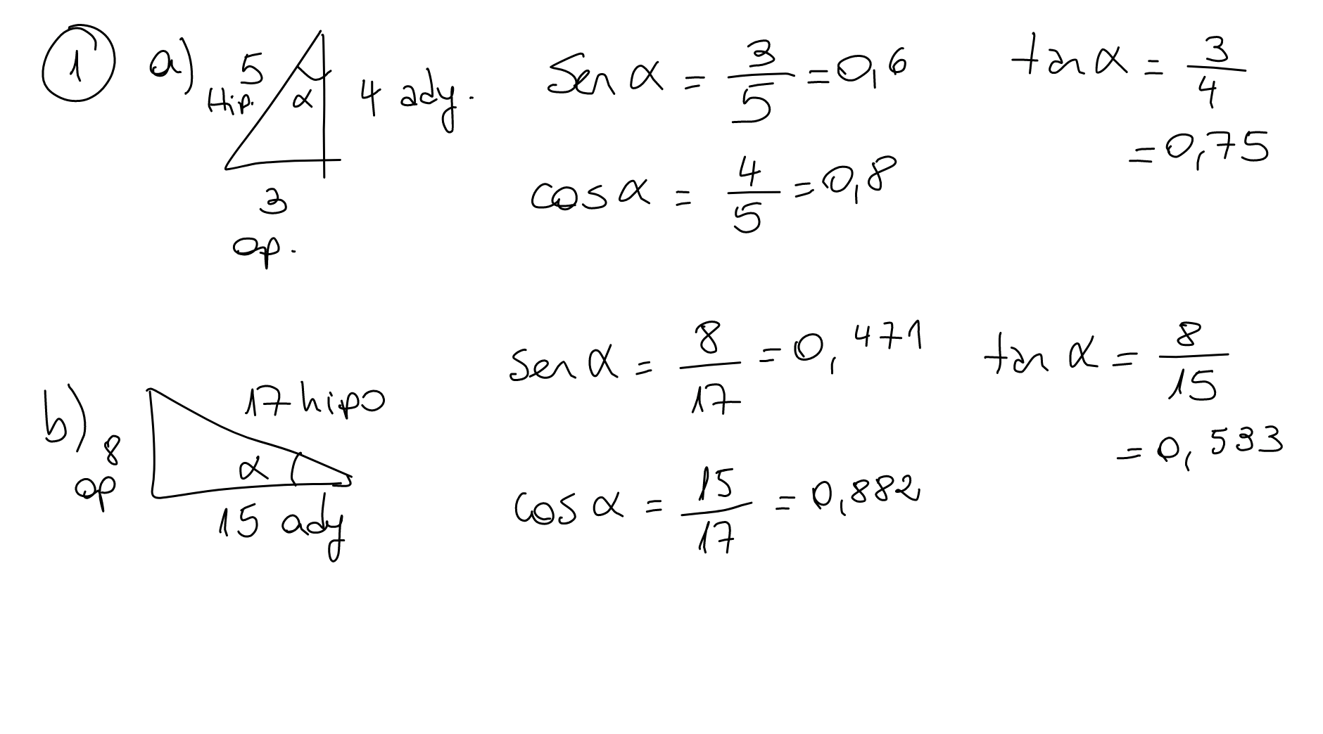
Ejercicio 1: Calcula las razones trigonométricas del ángulo α utilizando las definiciones de seno, coseno y tangente.

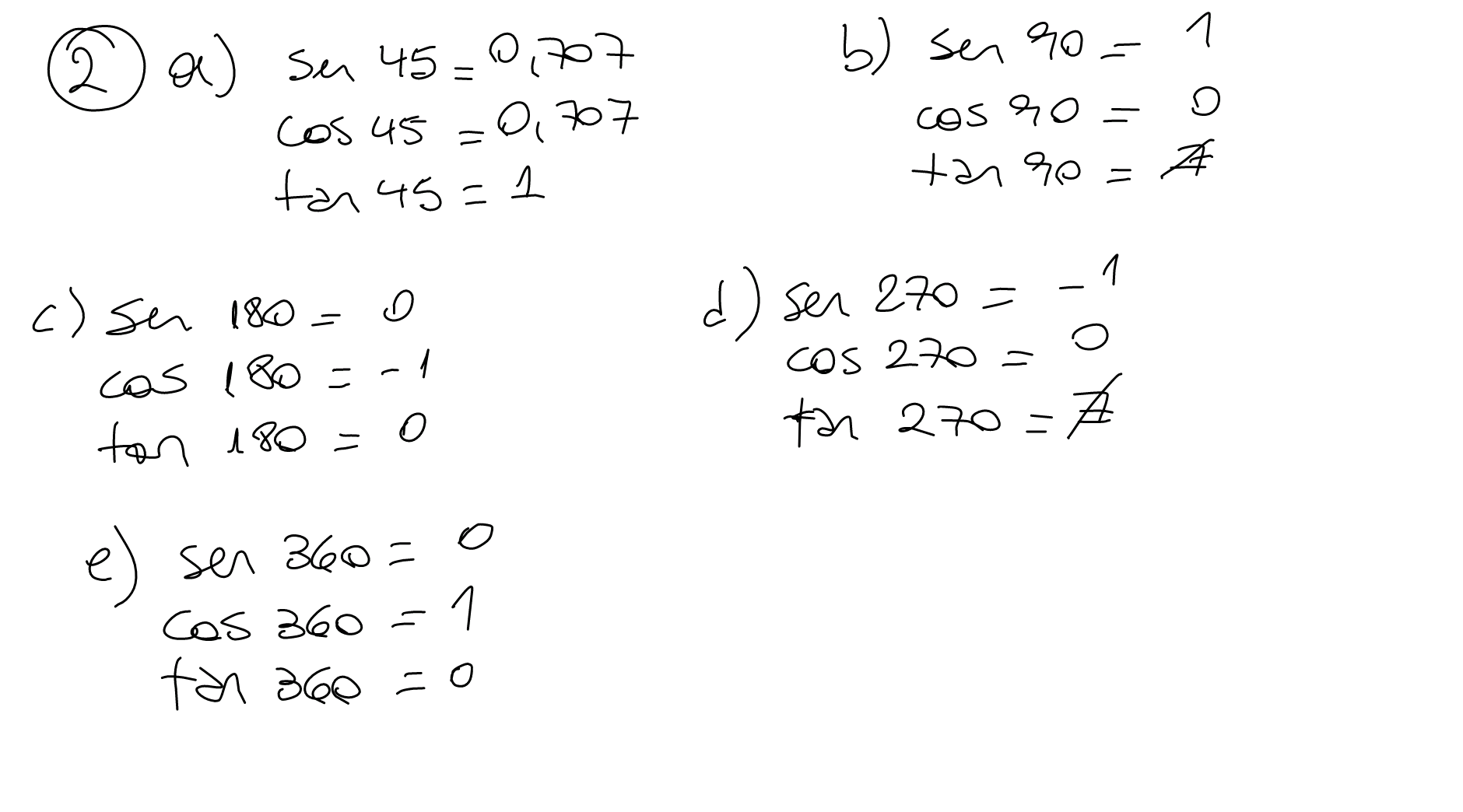
Ejercicio 2: Utiliza la calculadora para averiguar las razones trigonométricas de

Ejercicio 3: Calcula el ángulo α utilizando la calculadora

SOLUCIONES
4. Relaciones trigonométricas

Ejemplo
Vídeos
Actividades
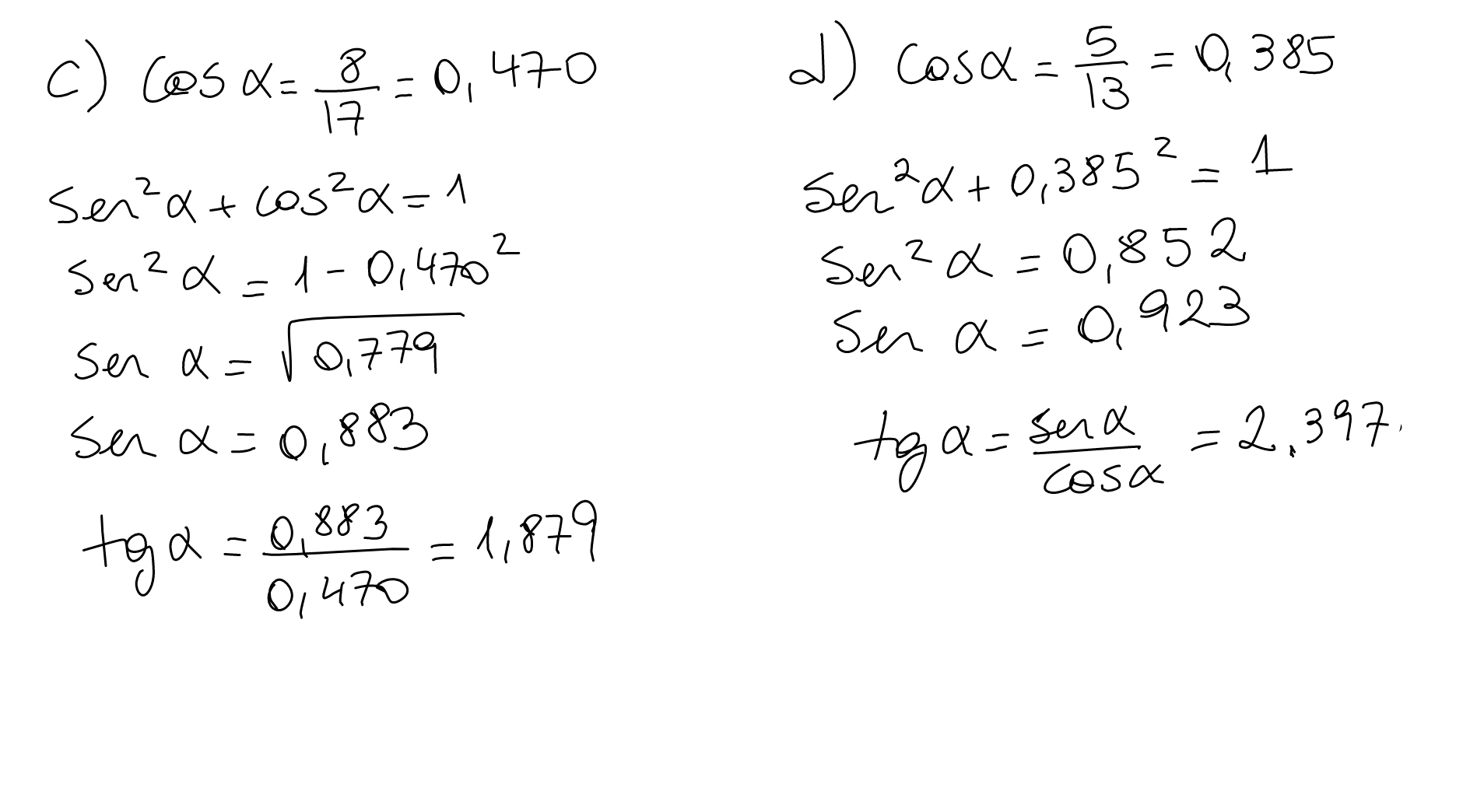
Ejercicio 4: Calcula el resto de razones trigonométricas del ángulo α utilizando las relaciones entre las razones trigonométricas.

Ejercicio 5: Sabiendo que α es un ángulo agudo calcula el resto de razones trigonométricas.

SOLUCIONES
5. Resolución de triángulos rectángulos
Vídeos
Actividades
Ejercicio 6: Calcula los lados y los ángulos desconocidos.

Ejercicio 7: resuelve los siguientes problemas
1) Debido al viento, una cometa atada al suelo ha alcanzado una altura de 5 metros. Calcula la longitud de la cuerda si cuando ha alcanzado esta altura estaba totalmente estirada, formando además un ángulo de 60º con respecto al suelo.
2) Calcular la altura de una estatua si se sabe que su sombra mide 15 metros cuando los rayos solares forman un ángulo de 40º con el suelo.
3) Calcula la profundidad de un pozo de 2 m de ancho si vemos el borde opuesto del fondo con un ángulo de 30º.







































